2026년 공무원 봉급표, 경찰·소방관·군인 월급·교사·교원 호봉표 총정리
2026년은 공무원 보수체계에서 분기점이 될 만한 해입니다. 정부는 2026년도 예산안을 통해 공무원 보수를 3.5% 인상하기로 확정했는데요, 이는 2017년 이후 9년 만에 최대폭의 인상입니다. 특히 물가 상승률에 미치지 못했던 지난 몇 년간의 보수 인상과 비교하면, 이번 결정은 공직사회의 사기 진작 및 청년세대의 공직 유인에 중요한 계기가 될 것으로 보입니다.

공무원 보수는 단순한 임금 문제가 아닙니다. 이는 공공서비스의 질과도 직결되며, 국가 인재 유입을 위한 가장 기초적인 정책 수단입니다. 실제로 2024년까지 공무원 보수가 민간 평균 임금의 83.9% 수준으로 낮아진 상황이었기에, 공무원단체와 내부에서는 더 큰 폭의 인상을 요구해온 상황이었습니다.



공무원 봉급 인상률 연도별 흐름
최근 7년간의 공무원 봉급 인상률을 보면 다음과 같습니다:
- 2020년: 2.8%
- 2021년: 0.9% (최저 인상률)
- 2022년: 1.4%
- 2023년: 1.7%
- 2024년: 2.5%
- 2025년: 3.0%



2025년 공무원 봉급표 - 2026년: 3.5% (최고 인상률)
이처럼 2026년 인상률은 단순한 숫자 이상의 의미를 지닙니다. 물가 회복률을 반영한 정책적 배려이자, 공무원의 처우를 개선하려는 첫 시도라는 상징성을 지니고 있습니다.
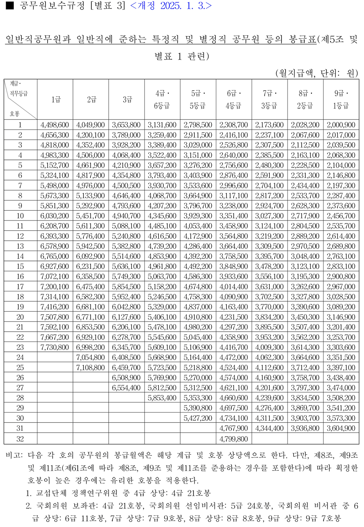
일반직렬 2026년 공무원 봉급표
2026 공무원 봉급 인상률에서 가장 많이 궁금해하는 부분은 일반직 공무원(9급~1급)의 월급입니다. 공무원 봉급표2026을 예상해보자면 기본급 기준으로 2026년은 아래와 같이 결정됐습니다.

- 9급 1호봉: 2,070,900원
- 7급 1호봉: 2,249,700원
- 5급 1호봉: 2,896,400원
- 3급 1호봉: 3,781,700원
- 1급 1호봉: 4,656,100원
9급 1호봉 기준으로 보면 2025년 대비 약 70,000원 인상된 수치입니다. 이는 기본급만을 반영한 것이며, 실제 실수령액은 각종 수당이 더해져 20~30% 이상 더 많아질 수 있습니다.






주요 수당 항목 예시
- 정근수당
- 직급보조비
- 명절휴가비
- 가족수당
- 시간외근무수당






2026년 교사 월급 (교원 봉급표 기준 2026 교원 호봉표)
교사의 급여는 교육공무원 호봉제에 따라 운영되며, 연차가 누적될수록 급여도 상승하는 구조입니다.

2026 교원 호봉표 월급
- 1호봉 (신규 교사): 1,982,100원
- 10호봉: 2,471,400원
- 20호봉: 3,481,000원
- 30호봉: 4,826,800원
- 40호봉 (정년 직전): 6,205,700원






교사 추가 수당
- 담임수당: 평균 130,000원
- 교직수당: 190,000원 내외
- 정근수당: 근속 연수에 따라 100,000원 이상
- 특수학급 근무수당, 보충수업수당 등
40호봉 정년 교사는 세전 기준 월 620만원 이상, 세후 약 500만 원 이상 실수령액을 받게 되며 이는 공무원 직군 중 최고 수준에 해당합니다.
























2026년 경찰공무원·소방공무원 봉급표
2026년에는 경찰과 소방공무원은 일반직과는 별도의 봉급표가 적용됩니다. 이는 위험 직무 보상 원칙에 따라 별도 체계가 운영되는 것이며, 기본급 외에 다양한 위험수당이 존재합니다.

경찰·소방 월급 (기본급 기준)
- 순경(소방사) 1호봉: 2,000,900원
- 경장(소방교) 1호봉: 2,078,100원
- 경사(소방장) 1호봉: 2,319,000원
- 경위(소방위) 1호봉: 2,352,400원
- 경감(소방경) 1호봉: 2,607,300원
- 총경(소방정) 1호봉: 3,496,600원
- 치안정감(소방정감) 1호봉: 4,739,200원
실제 수령액은 여기에 다음 수당들이 더해지며 월 300만원 이상 받는 경우도 흔합니다.















주요 특수수당
- 위험근무수당
- 특수업무수당
- 야간수당
- 초과근무수당



2026년 군인 월급 (간부 및 병사)
군인은 직업군인(간부)과 병사로 나뉘며, 각각 다른 봉급표가 적용됩니다. 특히 병사 월급은 2025년 대폭 인상된 후, 2026년은 동결된 형태로 유지됩니다.

병사 월급
- 이등병: 750,000원
- 일등병: 900,000원
- 상등병: 1,200,000원
- 병장: 1,500,000원
병장은 2022년 60만 원 → 2025년 150만 원으로 3년 만에 2.5배 이상 오른 상태에서 2026년 동결되었습니다.














장교 월급
- 소위 1호봉: 2,087,900원
- 중위 1호봉: 2,239,600원
- 대위 1호봉: 2,805,000원
- 소령 1호봉: 3,382,700원
- 대령 1호봉: 4,671,200원
- 준장 1호봉: 5,753,700원
- 소장 1호봉: 6,099,000원
사관생도 급여
- 1학년: 1,200,000원
- 4학년: 1,650,000원
ROTC, 부사관학교 생도 등도 별도 급여를 받으며, 이는 장차 직업군인 양성의 인센티브 역할을 합니다.






공무원 봉급과 수당의 구조적 이해
공무원 보수체계는 단순히 ‘봉급표에 적힌 금액’만으로 설명되지 않습니다. 실제 공무원의 생활수준을 결정짓는 것은 기본급 + 각종 수당 구조입니다. 다시 말해, 봉급표에 명시된 기본급은 전체 급여의 절반 정도에 불과하며, 나머지는 직무 성격, 근속연수, 가족 상황, 근무 환경 등에 따라 지급되는 다양한 수당이 차지합니다. 따라서 공무원의 실질 소득을 이해하기 위해서는 수당 항목을 반드시 함께 살펴야 합니다.






대표적인 공무원 수당 항목
1. 공무원 정근수당
정근수당은 일정 기간 성실히 근무한 공무원에게 주어지는 보상 성격의 수당입니다. 근속연수와 직급에 따라 차등 지급되며, 일반적으로 연 2회(1월, 7월) 지급됩니다. 근속기간이 길어질수록 금액이 올라가므로, 장기 재직을 유도하는 장치라 할 수 있습니다.
2. 공무원 가족수당
배우자, 자녀, 부모 등 부양가족이 있는 공무원에게 지급되는 수당입니다. 예컨대 배우자가 있으면 40,000원, 자녀 1인당 20,000원 수준으로 지급됩니다. 다만 자녀수에 따라 최대 한도가 정해져 있어 무제한으로 받을 수는 없습니다.
3. 공무원 직급보조비
직급이 높을수록 직무 활동 범위가 넓어지고, 대외적 의전이나 업무 경비도 늘어납니다. 이를 보완하기 위해 직급별로 차등 지급되는 것이 직급보조비입니다. 예를 들어 9급 공무원은 월 130,000원 수준, 5급 사무관은 약 200,000원 이상을 받습니다.
4. 공무원 시간외근무수당
대표적인 수당 중 하나로, 연장·야간·휴일 근무 시 지급됩니다. 특히 행정직 공무원은 민원 처리, 선거 업무, 예산 집행 기간 등 특정 시기에 초과근무가 집중되는 경우가 많아 이 수당이 급여에서 차지하는 비중이 상당합니다. 다만 법적으로 상한선이 정해져 있어 모든 초과근무가 수당으로 환산되지는 못한다는 점이 한계입니다.












5. 공무원 명절휴가비
설과 추석 명절에 지급되는 일시금으로, 기본급의 일정 비율(약 60%)이 산정됩니다. 예컨대 9급 1호봉 공무원의 경우 기본급이 2,070,900원이라면 명절휴가비는 약 1,240,000원 정도가 지급됩니다.
6. 공무원 성과상여금(성과급)
일정 직급 이상에게 적용되며, 근무 성과에 따라 차등 지급됩니다. 경찰, 소방 등 특정직 공무원은 개인 성과보다 조직 평가에 따라 지급되는 경우가 많습니다. 보통 4월과 7월에 지급되며, 공무원의 연봉 총액을 끌어올리는 중요한 요소입니다.
7. 공무원 위험근무수당 및 특수업무수당
경찰·소방·교정직·군인 등은 직무 특성상 위험도가 높기 때문에 별도의 위험근무수당이 책정되어 있습니다. 예를 들어 소방관의 경우 월 160,000원 이상의 위험수당을 받을 수 있고, 교도관 역시 근무 환경에 따라 일정 금액을 받습니다. 교사에게는 담임수당(월 130,000원), 교직수당(월 190,000원)이 대표적인 특수수당입니다.


수당이 공무원 실수령액에 미치는 영향
봉급표에 기재된 기본급만으로는 공무원 월급을 정확히 파악하기 어렵습니다. 예를 들어 2026년 9급 1호봉 공무원의 경우 기본급은 2,070,900원이지만, 실제 수령액은 수당이 더해져 약 260만~280만 원에 달합니다.
- 기본급: 2,070,900원
- 정근수당: 약 100,000원
- 가족수당: 약 40,000원 (배우자 기준)
- 직급보조비: 약 130,000원
- 시간외근무수당: 약 200,000원 (월 평균)
- 기타 수당 합산: 100,000원 내외
합계: 약 2,640,000원 (세전)
이처럼 수당은 기본급의 20~30% 이상을 차지하며, 직무나 상황에 따라 더 큰 폭으로 늘어나기도 합니다. 특히 경찰, 소방관은 초과근무수당과 위험근무수당의 비중이 크고, 교사는 교직·담임수당을 더해 기본급보다 높은 실질 급여를 형성합니다.










수당 제도의 장점과 한계
수당 중심의 보수체계는 직무 특성과 개인 상황을 반영할 수 있다는 장점이 있습니다. 그러나 동시에 다음과 같은 문제점도 지적됩니다.
- 예측 불가성: 초과근무나 특정 수당이 상황에 따라 달라져 실수령액이 매달 변동될 수 있음.
- 격차 심화: 같은 호봉이라도 직무 성격이나 근무지에 따라 실질 급여 격차가 크게 벌어짐.
- 성과주의 한계: 성과급 제도의 경우 형식적인 평가로 지급되는 경우가 많아 동기 부여 효과가 크지 않다는 비판 존재.













앞으로의 개선 방향
정부는 2026년 이후에도 수당 구조의 합리화를 검토 중입니다. 구체적으로는 기본급 비중을 조금 더 높이고, 수당 체계를 단순화하여 실질 급여를 예측 가능하게 만드는 방향이 논의되고 있습니다. 이는 장기적으로 공무원 임금의 투명성을 높이고, 민간 대비 임금 경쟁력을 확보하기 위한 과제라 할 수 있습니다.
👉 정리하면, 공무원 봉급은 기본급 + 각종 수당의 합산 구조이며, 실수령액은 봉급표보다 20~40% 더 많습니다. 경찰·소방·군인·교사 등은 직무 특성에 따라 별도의 수당이 붙어 같은 호봉이라도 실제 월급에서 큰 차이가 발생합니다. 2026년의 3.5% 인상은 이러한 복잡한 구조 속에서 기본급 자체를 끌어올렸다는 점에서 중요한 의미가 있습니다.












결론: 2026년 공무원 월급 인상, 공직사회의 회복 신호탄
2026년 공무원 보수 인상은 다음과 같은 긍정적 의미를 가집니다:
- 인상률 3.5%로 민간 격차 해소의 첫 걸음
- 병장 월급 150만 원 시대의 본격화
- 교사, 경찰, 소방 등 국민 생활 밀착 직군의 처우 개선
- 공무원 연금에 미치는 간접적 영향 가능성
하지만 여전히 공무원 보수는 민간 대비 80% 수준에 머무르고 있으며, 장기적으로는 근속 연차, 직무 난이도에 따른 구조적 개선도 필요하다는 의견이 많습니다.
'경제 직업 금융' 카테고리의 다른 글
| 교육 공무원봉급표2025 교사 월급, 교원 호봉표 (0) | 2025.09.29 |
|---|---|
| 공무원 봉급표 2025 9급 월급 (0) | 2025.09.21 |
| 공무원 직급체계 직급표 직위 (0) | 2025.09.20 |
| 경찰 인사 발령 치안감, 치안정감 승진 승진자 명단 한창훈, 박정보, 황창선, 엄성규, 김성희 프로필 (0) | 2025.09.16 |
| 2026년 공무원 봉급표, 2026 군인 월급 (0) | 2025.09.10 |